Co to jest RRSO?
1 marca 2021

Co to jest RRSO?

 

Zawsze przy ofertach kredytu lub pożyczki pojawia się skrót RRSO. Ale co to właściwie jest? Czy jest to miarodajny wskaźnik przy porównaniu kosztu różnych produktów kredytowych?

 

Rzeczywista Roczna Stopa Oprocentowania (RRSO)

 

RRSO – Rzeczywista Roczna Stopa Oprocentowania.

Najczęściej słyszymy o RRSO w reklamach. Kredytodawca w reklamie kredytu konsumenckiego zobowiązany jest przedstawić pełne parametry oferty kredytu. Informuje zatem o oprocentowaniu, okresie, wysokości raty, opłatach i właśnie RRSO. Według ustawy o kredycie konsumenckim, instytucje finansowe, informacje te muszą podać w sposób widzialny, jasny i zrozumiały oraz umożliwiający odbiorcy zapoznanie się z nimi. Dane te podaje na tzw. reprezentatywnym przykładzie.

Ustawa o kredycie konsumenckim mówi, że rzeczywista roczna stopa oprocentowania to „całkowity koszt kredytu ponoszony przez konsumenta, wyrażony jako wartość procentowa całkowitej kwoty kredytu w stosunku rocznym”.

 

Co składa się na RRSO?

Rozjaśniając słowa ustawy, RRSO powinno obejmować wszystkie koszty kredytu w stosunku rocznym. Na koszt kredytu składają się:

  • oprocentowanie nominalne – które jest połączeniem marży banku oraz stopy bazowej (WIBOR),
  • prowizja – z reguły naliczana jako jednorazowa opłata wstępna przy uruchomieniu kredytu,
  • ubezpieczenia – niekiedy dobrowolne a czasem są wymagane do uzyskania oferty kredytowej,
  • inne opłaty – które rzetelny bankier powinien wyszczególnić.

RRSO – jak obliczyć?

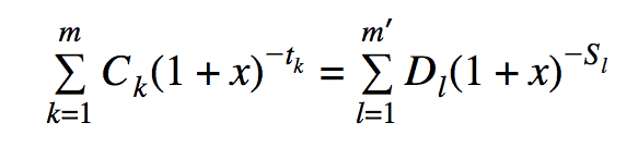
Częstym błędem jest liczenie rzeczywistej rocznej stopy oprocentowania przez dodanie do siebie prowizji i oprocentowania kredytu. Niestety obliczenie wskaźnika jest dużo bardziej skomplikowane niż mogłoby się wydawać. Ustawa podaje nam konkretne równanie matematyczne wedle którego wyliczane jest RRSO.

Tak wygląda wzór na RRSO:

rrso wzór

Chcąc skorzystać z tego wzoru musimy poznać również znaczenie symboli:

X – rzeczywista roczna stopa oprocentowania,

m – numer kolejny ostatniej wypłaty raty kredytu,

k – numer kolejny wypłaty,

Ck – kwota wypłaty k,

tk – okres między dniem pierwszej wypłaty a dniem każdej kolejnej wypłaty, z reguły wyrażony w latach lub ułamkach lat,

m’ – numer kolejny ostatniej spłaty lub wnoszonych opłat,

l – numer kolejny spłaty lub wnoszonych opłat,

Dl – kwota spłaty lub wnoszonych opłat,

Sl – okres między dniem pierwszej wypłaty a dniem każdej kolejnej spłaty lub wniesienia opłat, również wyrażony w latach lub ułamkach lat.

Oczywiście możemy wykorzystać wzór we własnym zakresie, najprościej jednak, będzie obliczyć RRSO przy użyciu dostępnych w Internecie kalkulatorów albo poprosić bankiera lub swojego doradcę finansowego aby przeliczył ją dla nas.

 

Czy zawsze warto kierować się RRSO?

Otóż niekoniecznie. Pomijając już szereg różnych dodatkowych kosztów kredytu lub pożyczki, których ustawa o kredycie konsumenckim nie nakazuje uwzględnić w RRSO (jak na przykład koszt prowadzenia konta, którego założenie wymagane jest do uzyskania oferty dla nowych klientów), bardzo duży wpływ na wysokość rzeczywistej rocznej stopy oprocentowania ma okres spłaty kredytu. Zależność tą widać na przykładzie poniżej.

RRSO – porównanie

niższe rrso kredytu
niższa całkowita kwota kosztu

W porównaniu zestawiony został kredyt gotówkowy w dwóch, bardzo podobnych do siebie wariantach. Kalkulacja została dokonana w taki sposób, aby kwota kredytu oraz wysokość oprocentowania, prowizji i kosztów dodatkowych były takie same. Różni się natomiast okres spłaty. RRSO kredytu nr 1 jest prawie dwukrotnie niższe niż rzeczywista stopa oprocentowania kredytu nr 2. Ale gdy spojrzymy na całkowity koszt, sytuacja odwraca się praktycznie o 180 stopni. Dzięki temu przykładowi jesteśmy w stanie dostrzec, że RRSO nie jest wskaźnikiem idealnym i mimo, że stworzony został, aby pomóc w ocenie kosztu to czasem może podać nieco inny wynik niż moglibyśmy tego oczekiwać.

Aby dobrze ocenić dany kredyt, należy więc zwracać uwagę nie tylko na sam wskaźnik, ale również na okres kredytowania i dodatkowe koszty które mogą nie być ujęte w samym RRSO.

 

Rzeczywista roczna stopa oprocentowania a całkowity koszt kredytu

 

Jak widać na powyższych przykładach, nie zawsze wystarczy obliczyć RRSO dla kredytów i pożyczek. Czasem lepiej wziąć pod uwagę jaka jest całkowita kwota do zapłaty.

Czy to znaczy, że są koszty, których bank nie musi wliczyć w RRSO?

Instytucje finansowe z reguły nie wliczają w ten wskaźnik kosztów, które nie dotyczą ustawy o kredycie konsumenckim. A zatem często może okazać się, że dodatkowe produkty lub opłaty znacznie zwiększają całkowity koszt kredytu nie wpływając na wysokość RRSO.

Takimi opłatami mogą być wspomniane wyżej opłaty za konto, kartę, przelewy, obsługę w przypadku opóźnienia spłaty kredytu (tzw. monity). Są to również koszty opłat notarialnych ponoszonych na przykład przy ustanawianiu zabezpieczeń do kredytu hipotecznego.

 

„Pożyczki z RRSO 0%”. Czy faktycznie jest to możliwe?

 

Tak. Czasem pojawiają się „raty 0%” lub niektóre parabanki oferują kredyt z RRSO 0% i są to oferty, gdzie faktycznie oprocentowanie kredytu wynosi dokładnie tyle ile podaje RRSO, czyli 0. Są to z reguły kampanie promocyjne mające na celu zdobycie nowych klientów oraz ich danych osobowych. Bardzo istotne jest w tym wypadku zapoznanie się z umową pożyczki, ponieważ może zawierać na przykład bezwzględny wymóg terminowych spłat a spóźnienie się ze spłatą raty skutkować będzie zmianą RRSO 0% na kilka lub nawet do kilkunastu procent.

 

RRSO przy kredycie hipotecznym

 

Jak chodzi o kredyt hipoteczny to wysokość RRSO daje dosyć dobry wstępny wgląd w koszty finansowania. Jest to bowiem kredyt o wielu dodatkowych kosztach, takich jak ubezpieczenie niskiego wkładu własnego, ubezpieczenie na życie czy ubezpieczenie pomostowe.

Tak samo w tym wypadku nie zawsze warto patrzeć tylko na wskaźnik RRSO. Skoro wydłużenie okresu kredytowania zmniejsza wysokość RRSO to bezwzględnie należy porównywać oferty na ten sam okres. Jeżeli jeden bank przedstawi ofertę na 30 lat a drugi tylko na 25 to do porównania należałoby skrócić okres pierwszego finansowania. Dodatkowo, nie zawsze dwie oferty mające jednakową rzeczywistą roczną stopę oprocentowania będą miały jednakowy całkowity koszt finansowania. Czasem warto zrezygnować z ubezpieczenia kredytu a czasem wręcz przeciwnie. Przy tak długich okresach, drobna różnica w oprocentowaniach może znacznie wpłynąć na finalny wynik. Warto więc zawsze przeanalizować dokładnie wszystkie dostępne możliwości lub skonsultować je ze swoim doradcą.

 

Podsumowanie – wady i zalety rzeczywistej rocznej stopy oprocentowania

 

Największą zaletą jaką posiada wskaźnik RRSO jest łatwość wstępnego porównania ofert kredytów i pożyczek. Dzięki ustawie, zawarte w nim muszą być najważniejsze składowe kosztu kredytu. Pomaga on również w wyborze kredytu hipotecznego w którym przez nawał różnych opłat bardzo łatwo się pogubić.

Niestety wskaźnik nie zawsze jest miarodajny, jest on kształtowany w czasie, przez co może postawić w różnym świetle kredyt hipoteczny zaciągany na lata a w zupełnie innym mały kredyt gotówkowy na krótki okres nawet jeśli oprocentowanie kredytu będzie niewielkie.

Decydując się na kredyt dobrze jest obliczyć RRSO i porównać za jego pomocą różne oferty kredytów. Natomiast powyższe przykłady dają sporo do myślenia i sugerują, aby prać pod uwagę również inne czynniki mogące wpłynąć na koszt finansowania.

 

Przed podjęciem finalnej decyzji warto porozmawiać o dostępnych ofertach

z ekspertem, aby wybrać najlepsze i najbezpieczniejsze rozwiązanie.